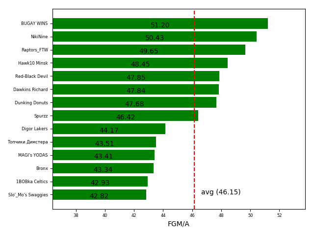
Dimster Опубликовано 22 января, 2018 Автор Опубликовано 22 января, 2018 (изменено) Стата 14 недели Спойлер FG% Спойлер FT% Спойлер 3 PTM Спойлер PTS Спойлер REB Спойлер AST Спойлер ST Спойлер BLK Спойлер TO Спойлер TOTAL Статистика рыломатчей 14 недели Bronx (31) Enes Kanter - 4 Bogdan Bogdanovic - 3 Nicolas Batum - 3 Lauri Markkanen - 3 CJ McCollum - 3 Marcus Morris - 3 Malcolm Brogdon - 2 Harrison Barnes - 2 Delon Wright - 2 James Harden - 2 Ryan Anderson - 2 Gerald Green - 1 Jarrett Jack - 1 6 - 3 Digor Lakers (28) Avery Bradley - 4 Clint Capela - 3 Dario Saric - 3 DeMarcus Cousins - 3 Paul George - 3 Willie Cauley-Stein - 3 Lonzo Ball - 3 Dennis Smith Jr. - 2 Wesley Matthews - 2 Kris Dunn - 2 Raptors_FTW (26) De'Aaron Fox - 3 Nikola Mirotic - 3 Kevin Durant - 3 Joel Embiid - 3 Draymond Green - 3 Trevor Ariza - 2 Elfrid Payton - 2 Evan Fournier - 2 Tyler Johnson - 2 Robin Lopez - 1 Markieff Morris - 1 JJ Redick - 1 8 - 1 Hawk10 Minsk (18) Carmelo Anthony - 3 DeAndre Jordan - 3 Wilson Chandler - 3 Kyrie Irving - 3 Jimmy Butler - 3 Jaylen Brown - 3 Dunking Donuts (31) Ish Smith - 4 DeMarre Carroll - 4 Al-Farouq Aminu - 3 Chris Paul - 3 Lou Williams - 3 Blake Griffin - 3 John Henson - 3 Rudy Gobert - 3 Shabazz Napier - 2 Devin Booker - 2 Robert Covington - 1 7 - 2 NikiNine (21) Kawhi Leonard - 4 Larry Nance Jr. - 4 LaMarcus Aldridge - 4 Kemba Walker - 3 Steven Adams - 3 Jonathon Simmons - 3 Dawkins Richard (34) Victor Oladipo - 4 Donovan Mitchell - 4 Tim Hardaway Jr. - 4 Klay Thompson - 3 John Collins - 3 Jayson Tatum - 3 Aaron Gordon - 3 Anthony Davis - 3 Taj Gibson - 3 Courtney Lee - 3 Mike Conley - 1 4 - 4 BUGAY WINS (31) Darren Collison - 4 Andre Drummond - 4 Hassan Whiteside - 4 Jrue Holiday - 3 Gary Harris - 3 Spencer Dinwiddie - 3 Russell Westbrook - 3 Ersan Ilyasova - 3 Michael Beasley - 2 Trey Lyles - 1 Taurean Prince - 1 Slo'_Mo's Swaggies (32) Rondae Hollis-Jefferson - 4 Julius Randle - 4 Tyreke Evans - 4 John Wall - 3 Eric Bledsoe - 3 Khris Middleton - 3 Jeff Teague - 3 Nikola Vucevic - 3 Jusuf Nurkic - 3 Rajon Rondo - 1 JaMychal Green - 1 3 - 6 1BOBka Celtics (33) Caris LeVert - 4 Kyle Kuzma - 4 Terry Rozier - 3 Bismack Biyombo - 3 Karl-Anthony Towns - 3 Eric Gordon - 3 Kyle Lowry - 3 Dwight Howard - 3 Zach LaVine - 3 Otto Porter Jr. - 3 Marco Belinelli - 1 MAGI's YODAS (33) Josh Richardson - 4 DeMar DeRozan - 4 Domantas Sabonis - 4 Dennis Schroder - 3 Giannis Antetokounmpo - 3 Marcin Gortat - 3 Marcus Smart - 3 E'Twaun Moore - 3 Myles Turner - 2 T.J. Warren - 2 Brandon Ingram - 1 Jordan Clarkson - 1 6 - 3 Spurzz (29) Jonas Valanciunas - 4 Stephen Curry - 3 Bradley Beal - 3 Ben Simmons - 3 Kevin Love - 3 Wayne Ellington - 3 D'Angelo Russell - 2 Danny Green - 2 Kent Bazemore - 2 JJ Redick - 1 Kyle Anderson - 1 Dirk Nowitzki - 1 Kyle O'Quinn - 1 Топчики Димстера (34) Ricky Rubio - 4 Tobias Harris - 4 Serge Ibaka - 4 Justin Holiday - 3 Will Barton - 3 Nikola Jokic - 3 Damian Lillard - 3 Thaddeus Young - 3 Al Horford - 3 Allen Crabbe - 2 James Johnson - 2 6 - 3 Red-Black Devil (29) Kristaps Porzingis - 4 Pau Gasol - 4 Isaiah Thomas - 3 Goran Dragic - 3 LeBron James - 3 Andrew Wiggins - 3 Jamal Murray - 3 Kentavious Caldwell-Pope - 2 Zach Randolph - 1 Yogi Ferrell - 1 J.J. Barea - 1 Tyson Chandler - 1 Рекорды сезона Category FGM/A Best Value Team Week Opponent Score 1 0.544 Dawkins Richard 7 Dunking Donuts 5-4-0 2 0.53 NikiNine 7 1BOBka Celtics 5-4-0 3 0.53 1BOBka Celtics 1 Slo'_Mo's Swaggies 3-6-0 4 0.5279 Dawkins Richard 11 Топчики Димстера 4-5-0 5 0.5272 BUGAY WINS 11 Digor Lakers 5-4-0 6 0.5256 MAGI's YODAS 12 Red-Black Devil 5-4-0 7 0.5238 Slo'_Mo's Swaggies 3 NikiNine 6-3-0 8 0.5158 BUGAY WINS 10 Bronx 4-5-0 9 0.5149 Топчики Димстера 7 Bronx 7-2-0 10 0.512 BUGAY WINS 14 Dawkins Richard 4-4-0 Worst Value Team Week Opponent Score 1 0.3987 Red-Black Devil 13 Bronx 4-5-0 2 0.4007 Digor Lakers 6 Slo'_Mo's Swaggies 3-6-0 3 0.4042 Топчики Димстера 12 Slo'_Mo's Swaggies 4-4-0 4 0.4077 Digor Lakers 5 Dawkins Richard 3-6-0 5 0.4099 Hawk10 Minsk 1 Raptors_FTW 2-7-0 6 0.4106 Топчики Димстера 13 MAGI's YODAS 6-3-0 7 0.4131 Digor Lakers 3 Raptors_FTW 4-4-0 8 0.4132 Bronx 7 Топчики Димстера 2-7-0 9 0.4153 Dunking Donuts 9 MAGI's YODAS 2-7-0 10 0.4183 Топчики Димстера 9 Raptors_FTW 7-2-0 Category FTM/A Best Value Team Week Opponent Score 1 0.9375 Dunking Donuts 13 BUGAY WINS 3-6-0 2 0.9174 Bronx 5 Slo'_Mo's Swaggies 6-3-0 3 0.8958 Raptors_FTW 14 Hawk10 Minsk 8-1-0 4 0.8923 Dunking Donuts 10 Топчики Димстера 5-4-0 5 0.8916 Bronx 14 Digor Lakers 6-3-0 6 0.881 Hawk10 Minsk 14 Raptors_FTW 1-8-0 7 0.8739 Dawkins Richard 2 NikiNine 8-1-0 8 0.873 Dunking Donuts 1 NikiNine 7-2-0 9 0.8714 Raptors_FTW 4 Red-Black Devil 4-5-0 10 0.8676 Топчики Димстера 8 Digor Lakers 6-3-0 Worst Value Team Week Opponent Score 1 0.6087 1BOBka Celtics 2 MAGI's YODAS 4-5-0 2 0.6167 NikiNine 14 Dunking Donuts 2-7-0 3 0.623 Digor Lakers 5 Dawkins Richard 3-6-0 4 0.6383 1BOBka Celtics 13 Dawkins Richard 4-4-0 5 0.6567 Digor Lakers 9 Spurzz 2-6-0 6 0.6698 BUGAY WINS 4 Топчики Димстера 4-5-0 7 0.6747 Red-Black Devil 1 Топчики Димстера 3-6-0 8 0.6795 1BOBka Celtics 3 Топчики Димстера 3-6-0 9 0.6813 Red-Black Devil 2 Digor Lakers 2-7-0 10 0.6903 NikiNine 8 BUGAY WINS 2-7-0 Category 3PTM Best Value Team Week Opponent Score 1 77 Топчики Димстера 8 Digor Lakers 6-3-0 2 70 Raptors_FTW 11 1BOBka Celtics 6-3-0 3 68 Bronx 5 Slo'_Mo's Swaggies 6-3-0 4 67 Spurzz 11 Dunking Donuts 7-2-0 5 66 Bronx 3 Dunking Donuts 6-3-0 6 66 Bronx 2 Raptors_FTW 6-3-0 7 64 Топчики Димстера 7 Bronx 7-2-0 8 62 1BOBka Celtics 11 Raptors_FTW 3-6-0 9 62 Топчики Димстера 2 Spurzz 4-5-0 10 61 Топчики Димстера 4 BUGAY WINS 5-4-0 Worst Value Team Week Opponent Score 1 8 NikiNine 14 Dunking Donuts 2-7-0 2 11 NikiNine 12 Digor Lakers 1-8-0 3 12 NikiNine 13 Raptors_FTW 3-6-0 4 14 Slo'_Mo's Swaggies 1 1BOBka Celtics 6-3-0 5 16 MAGI's YODAS 11 Slo'_Mo's Swaggies 4-5-0 6 17 MAGI's YODAS 4 NikiNine 5-4-0 7 19 BUGAY WINS 1 Dawkins Richard 4-5-0 8 19 MAGI's YODAS 1 Spurzz 4-5-0 9 19 Slo'_Mo's Swaggies 6 Digor Lakers 6-3-0 10 19 MAGI's YODAS 6 Bronx 5-4-0 Category PTS Best Value Team Week Opponent Score 1 594 MAGI's YODAS 8 Raptors_FTW 4-5-0 2 593 Red-Black Devil 3 Spurzz 4-5-0 3 592 Dawkins Richard 14 BUGAY WINS 4-4-0 4 577 Bronx 5 Slo'_Mo's Swaggies 6-3-0 5 569 Raptors_FTW 11 1BOBka Celtics 6-3-0 6 562 MAGI's YODAS 13 Топчики Димстера 3-6-0 7 553 Топчики Димстера 2 Spurzz 4-5-0 8 552 Dunking Donuts 14 NikiNine 7-2-0 9 551 Bronx 3 Dunking Donuts 6-3-0 10 551 Spurzz 2 Топчики Димстера 5-4-0 Worst Value Team Week Opponent Score 1 240 Hawk10 Minsk 13 Digor Lakers 3-6-0 2 246 NikiNine 12 Digor Lakers 1-8-0 3 253 Hawk10 Minsk 14 Raptors_FTW 1-8-0 4 264 NikiNine 13 Raptors_FTW 3-6-0 5 277 BUGAY WINS 1 Dawkins Richard 4-5-0 6 279 NikiNine 14 Dunking Donuts 2-7-0 7 296 1BOBka Celtics 1 Slo'_Mo's Swaggies 3-6-0 8 297 Hawk10 Minsk 1 Raptors_FTW 2-7-0 9 298 Digor Lakers 6 Slo'_Mo's Swaggies 3-6-0 10 300 NikiNine 1 Dunking Donuts 2-7-0 Category REB Best Value Team Week Opponent Score 1 228 1BOBka Celtics 8 Hawk10 Minsk 8-1-0 2 224 BUGAY WINS 4 Топчики Димстера 4-5-0 3 223 Digor Lakers 13 Hawk10 Minsk 6-3-0 4 223 BUGAY WINS 8 NikiNine 7-2-0 5 222 Raptors_FTW 11 1BOBka Celtics 6-3-0 6 214 Топчики Димстера 2 Spurzz 4-5-0 7 211 1BOBka Celtics 14 Slo'_Mo's Swaggies 6-3-0 8 210 BUGAY WINS 14 Dawkins Richard 4-4-0 9 206 BUGAY WINS 11 Digor Lakers 5-4-0 10 206 Digor Lakers 4 Dunking Donuts 6-3-0 Worst Value Team Week Opponent Score 1 79 Hawk10 Minsk 14 Raptors_FTW 1-8-0 2 89 NikiNine 13 Raptors_FTW 3-6-0 3 91 Spurzz 12 Dawkins Richard 5-4-0 4 100 NikiNine 12 Digor Lakers 1-8-0 5 104 NikiNine 1 Dunking Donuts 2-7-0 6 112 Hawk10 Minsk 13 Digor Lakers 3-6-0 7 115 Hawk10 Minsk 4 Slo'_Mo's Swaggies 2-7-0 8 117 Bronx 1 Digor Lakers 3-6-0 9 117 Hawk10 Minsk 5 MAGI's YODAS 3-6-0 10 119 Red-Black Devil 14 Топчики Димстера 3-6-0 Category AST Best Value Team Week Opponent Score 1 161 Raptors_FTW 11 1BOBka Celtics 6-3-0 2 158 Slo'_Mo's Swaggies 11 MAGI's YODAS 5-4-0 3 143 Slo'_Mo's Swaggies 14 1BOBka Celtics 3-6-0 4 141 Dunking Donuts 12 1BOBka Celtics 5-4-0 5 141 BUGAY WINS 2 Slo'_Mo's Swaggies 5-4-0 6 140 Red-Black Devil 11 Hawk10 Minsk 6-3-0 7 136 Raptors_FTW 7 Slo'_Mo's Swaggies 7-2-0 8 134 Spurzz 7 Hawk10 Minsk 5-4-0 9 134 Slo'_Mo's Swaggies 2 BUGAY WINS 4-5-0 10 131 Slo'_Mo's Swaggies 13 Spurzz 4-4-0 Worst Value Team Week Opponent Score 1 31 NikiNine 13 Raptors_FTW 3-6-0 2 37 Hawk10 Minsk 14 Raptors_FTW 1-8-0 3 45 NikiNine 12 Digor Lakers 1-8-0 4 47 Hawk10 Minsk 13 Digor Lakers 3-6-0 5 49 NikiNine 1 Dunking Donuts 2-7-0 6 50 1BOBka Celtics 3 Топчики Димстера 3-6-0 7 50 Dawkins Richard 10 MAGI's YODAS 2-6-0 8 50 NikiNine 10 Hawk10 Minsk 2-7-0 9 51 1BOBka Celtics 1 Slo'_Mo's Swaggies 3-6-0 10 51 Dawkins Richard 11 Топчики Димстера 4-5-0 Category ST Best Value Team Week Opponent Score 1 53 BUGAY WINS 2 Slo'_Mo's Swaggies 5-4-0 2 44 Digor Lakers 13 Hawk10 Minsk 6-3-0 3 44 Digor Lakers 4 Dunking Donuts 6-3-0 4 44 Spurzz 2 Топчики Димстера 5-4-0 5 43 Digor Lakers 14 Bronx 3-6-0 6 43 Slo'_Mo's Swaggies 12 Топчики Димстера 4-4-0 7 43 Dunking Donuts 3 Bronx 3-6-0 8 42 BUGAY WINS 13 Dunking Donuts 6-3-0 9 42 Digor Lakers 10 1BOBka Celtics 4-5-0 10 42 BUGAY WINS 7 Red-Black Devil 3-5-0 Worst Value Team Week Opponent Score 1 11 Bronx 7 Топчики Димстера 2-7-0 2 12 NikiNine 5 Топчики Димстера 4-5-0 3 14 1BOBka Celtics 3 Топчики Димстера 3-6-0 4 14 Raptors_FTW 9 Топчики Димстера 2-7-0 5 14 Hawk10 Minsk 10 NikiNine 7-2-0 6 14 NikiNine 8 BUGAY WINS 2-7-0 7 15 Hawk10 Minsk 4 Slo'_Mo's Swaggies 2-7-0 8 15 Hawk10 Minsk 11 Red-Black Devil 3-6-0 9 16 1BOBka Celtics 7 NikiNine 4-5-0 10 16 Hawk10 Minsk 14 Raptors_FTW 1-8-0 Category BLK Best Value Team Week Opponent Score 1 39 Raptors_FTW 8 MAGI's YODAS 5-4-0 2 36 Slo'_Mo's Swaggies 8 Dunking Donuts 7-2-0 3 34 1BOBka Celtics 14 Slo'_Mo's Swaggies 6-3-0 4 33 Digor Lakers 4 Dunking Donuts 6-3-0 5 30 1BOBka Celtics 11 Raptors_FTW 3-6-0 6 30 Dawkins Richard 11 Топчики Димстера 4-5-0 7 30 Slo'_Mo's Swaggies 2 BUGAY WINS 4-5-0 8 29 MAGI's YODAS 4 NikiNine 5-4-0 9 28 BUGAY WINS 13 Dunking Donuts 6-3-0 10 28 Digor Lakers 13 Hawk10 Minsk 6-3-0 Worst Value Team Week Opponent Score 1 5 Hawk10 Minsk 4 Slo'_Mo's Swaggies 2-7-0 2 6 Bronx 1 Digor Lakers 3-6-0 3 7 Hawk10 Minsk 1 Raptors_FTW 2-7-0 4 7 Bronx 12 Hawk10 Minsk 7-2-0 5 7 1BOBka Celtics 5 Red-Black Devil 4-5-0 6 8 Bronx 9 1BOBka Celtics 6-3-0 7 8 1BOBka Celtics 7 NikiNine 4-5-0 8 8 Hawk10 Minsk 6 Топчики Димстера 4-5-0 9 8 Red-Black Devil 10 Slo'_Mo's Swaggies 4-5-0 10 8 Bronx 8 Spurzz 3-6-0 Category TO Best Value Team Week Opponent Score 1 14 NikiNine 12 Digor Lakers 1-8-0 2 24 Hawk10 Minsk 14 Raptors_FTW 1-8-0 3 26 Hawk10 Minsk 13 Digor Lakers 3-6-0 4 27 NikiNine 14 Dunking Donuts 2-7-0 5 29 Hawk10 Minsk 10 NikiNine 7-2-0 6 31 NikiNine 13 Raptors_FTW 3-6-0 7 33 1BOBka Celtics 1 Slo'_Mo's Swaggies 3-6-0 8 35 Bronx 13 Red-Black Devil 5-4-0 9 35 Hawk10 Minsk 12 Bronx 2-7-0 10 35 Dawkins Richard 10 MAGI's YODAS 2-6-0 Worst Value Team Week Opponent Score 1 88 Raptors_FTW 11 1BOBka Celtics 6-3-0 2 87 Slo'_Mo's Swaggies 13 Spurzz 4-4-0 3 86 Spurzz 2 Топчики Димстера 5-4-0 4 86 Slo'_Mo's Swaggies 2 BUGAY WINS 4-5-0 5 83 MAGI's YODAS 2 1BOBka Celtics 5-4-0 6 82 Spurzz 4 1BOBka Celtics 7-2-0 7 80 MAGI's YODAS 3 BUGAY WINS 7-2-0 8 78 Raptors_FTW 2 Bronx 3-6-0 9 77 Digor Lakers 3 Raptors_FTW 4-4-0 10 77 Raptors_FTW 3 Digor Lakers 4-4-0 Most records BUGAY WINS - 12 Топчики Димстера - 8 Slo'_Mo's Swaggies - 8 Raptors_FTW - 8 Bronx - 8 Digor Lakers - 8 1BOBka Celtics - 7 Dawkins Richard - 6 Dunking Donuts - 6 Hawk10 Minsk - 5 MAGI's YODAS - 4 NikiNine - 4 Spurzz - 4 Red-Black Devil - 2 Most antirecords NikiNine - 18 Hawk10 Minsk - 17 1BOBka Celtics - 10 Digor Lakers - 7 Bronx - 7 MAGI's YODAS - 6 Red-Black Devil - 5 Slo'_Mo's Swaggies - 4 Raptors_FTW - 4 Топчики Димстера - 3 BUGAY WINS - 3 Spurzz - 3 Dawkins Richard - 2 Dunking Donuts - 1 Luckiest Raptors_FTW - 14 Топчики Димстера - 13 Digor Lakers - 12 Slo'_Mo's Swaggies - 10 Dawkins Richard - 6 Dunking Donuts - 6 MAGI's YODAS - 5 1BOBka Celtics - 5 Spurzz - 4 BUGAY WINS - 4 NikiNine - 4 Bronx - 3 Hawk10 Minsk - 2 Red-Black Devil - 2 Unluckiest Dunking Donuts - 11 Slo'_Mo's Swaggies - 10 Топчики Димстера - 8 1BOBka Celtics - 8 NikiNine - 7 Digor Lakers - 7 Raptors_FTW - 7 Hawk10 Minsk - 7 Bronx - 6 BUGAY WINS - 5 Spurzz - 5 Red-Black Devil - 4 MAGI's YODAS - 3 Dawkins Richard - 2 Мне везет со стилами Изменено 22 января, 2018 пользователем Dimster 3
Легенда 1BOBka986 Опубликовано 22 января, 2018 Легенда Опубликовано 22 января, 2018 Ого, сколько статы)))А что такое Luckiest?
Dimster Опубликовано 22 января, 2018 Автор Опубликовано 22 января, 2018 1 минуту назад, 1BOBka986 сказал: Ого, сколько статы)))А что такое Luckiest? типа столько раз против команды ставили антирекорд, а анлакиест сколько раз против команды ставили рекорд. Не знаю зачем это нужно, просто легко можно было посчитать В конце сезона подобью рекорды по всем лигам, сейчас больше всего рекордов и антирекордов у 2.2 и 3.2, походу количество рекордов напрямую связано с антирекордами
Легенда 1BOBka986 Опубликовано 22 января, 2018 Легенда Опубликовано 22 января, 2018 А человекоматчи ты руками считал?если нет, то реально сразу просчитать из каких команд лучше брать игроков, чтоб по максимуму их забить?
Dimster Опубликовано 22 января, 2018 Автор Опубликовано 22 января, 2018 1 минуту назад, 1BOBka986 сказал: А человекоматчи ты руками считал?если нет, то реально сразу просчитать из каких команд лучше брать игроков, чтоб по максимуму их забить? Нет, не руками, у меня была мысль перед драфтом так все просчитать, но я это не делал, все равно слишком много нюансов, там травмы всякие, последние пики могут не заиграть и их надо будет скидывать, решил добавить эту стату чтоб глянуть как часто выиграют чуваки если у них меньше игроков на неделе, на этой неделе все проиграли 1
без прыжка Опубликовано 23 января, 2018 Опубликовано 23 января, 2018 В 16.01.2018 в 03:50, San Antonio Spurs сказал: Ну ты можешь сам глянуть. Нет, они не ставят состав. Помню, Хоук не ставил долго состав, наблюдал за ним, потом неделя матчапа со мной вдруг резко начал ставить, еле обыграл его 5-4, а щас смотрю опять не ставит, теперь остальным отдает 7-2. Заговор, не иначе Коммиш сомневаюсь что будет ставить за них, он ведь как раз с ними играет, ему очки нужны А вообще вся эта херня дурно пахнет, можно бы и в совет маякнуть о, народ, а что же вы молчите) Если не ставят состав долго, то комиссионер может смело блокировать игроков, выставив оптимальный состав до конца чемпионата. Топ-6. В 23.07.2009 в 14:20, k04a сказал: Правила Системы Лиг СЛЭМДАНКА ...2.5. Нарушения и наказания2.5.2. В ситуации, когда менеджер не выставляет состав в течение нескольких дней – ему делается предупреждение. Систематические краткосрочные невыставления состава караются переводом в нижестоящую лигу по итогам сезона. Данный пункт, в зависимости от частоты невыставления состава, в каждом случае подлежит обсуждению в Совете Системы. Повторное нарушение – дисквалификация на сезон.2.5.3. В случае, если менеджер не выставляет состав в течение недели и более без уважительной причины – комиссионер обязан сообщить об этом Совету, произвести блокировку менеджера, выставить «оптимальный состав» до конца сезона. По результатам сезона менеджер переводится в низшую лигу. 2
Легенда Arizona Coyotes Опубликовано 24 января, 2018 Легенда Опубликовано 24 января, 2018 (изменено) А так состав у никто не и не ставит, да и в составе висят такие люди как Уэйтерс который не факт что и к началу следующего сезона выйдет на поляну Изменено 24 января, 2018 пользователем San Antonio Spurs
без прыжка Опубликовано 24 января, 2018 Опубликовано 24 января, 2018 ну всё тогда: блокировать все действия менеджеров и топ-6 в старт, который всегда и висит.
Легенда 1BOBka986 Опубликовано 24 января, 2018 Легенда Опубликовано 24 января, 2018 Всё это правильно, только одни уже набили на них стату, а кому то потом отгребать от каравая перед по (
Легенда Иностранный специалист Опубликовано 24 января, 2018 Легенда Опубликовано 24 января, 2018 13 часов назад, без прыжка сказал: ну всё тогда: блокировать все действия менеджеров и топ-6 в старт, который всегда и висит. А кто должен блокировать? Trust The Process или наш комиссар? -2
Легенда Slo'_Mo' Опубликовано 25 января, 2018 Легенда Опубликовано 25 января, 2018 11 часов назад, Bronx7 сказал: А кто должен блокировать? Trust The Process или наш комиссар? Адам Сильвер
Dimster Опубликовано 26 января, 2018 Автор Опубликовано 26 января, 2018 Надо же как мне не прет, вчера Симонс какой-то дикий трипл сделал, сегодня Бил сделал жесткий недотрипл, ролевик Элингтон набрал треть очков ямы с 6 трехами, походу я только на недельку на первое заскочил. Игроки соперника из трусов выпрыгивают ( чувствую себя родманес, не самое приятное чувство 3
Легенда Slo'_Mo' Опубликовано 26 января, 2018 Легенда Опубликовано 26 января, 2018 2 часа назад, Dimster сказал: Надо же как мне не прет, вчера Симонс какой-то дикий трипл сделал, сегодня Бил сделал жесткий недотрипл, ролевик Элингтон набрал треть очков ямы с 6 трехами, походу я только на недельку на первое заскочил. Игроки соперника из трусов выпрыгивают ( чувствую себя родманес, не самое приятное чувство тоже пожалуюсь: только подниму из пула то криса пару недель назад он травмируется, лабисьера тот тоже с локтем мучается. короче не фарт какой то. скоро также все мувы потрачу и буду сосать лапу, а то и того хуже
Легенда Arizona Coyotes Опубликовано 26 января, 2018 Легенда Опубликовано 26 января, 2018 Первая лига по вам плачет ноет
Легенда Slo'_Mo' Опубликовано 26 января, 2018 Легенда Опубликовано 26 января, 2018 1 час назад, San Antonio Spurs сказал: Первая лига по вам плачет ноет как там Валан и Дедьмон? Чего это ты за мной игроков стал подбирать?
Легенда Arizona Coyotes Опубликовано 26 января, 2018 Легенда Опубликовано 26 января, 2018 Лабисьера надо забирать
Легенда Иностранный специалист Опубликовано 26 января, 2018 Легенда Опубликовано 26 января, 2018 6 часов назад, Dimster сказал: чувствую себя родманес, не самое приятное чувство Не удивительно с таким то именем. Странно что в нашей лиге боты Родманеса относительно высоко. Вон в 3-3 на последнем месте. Вовка кстати совсем в выносителя превратился. Вот вам и второй пик Таунс. А ведь многие ржали. -1
digor Опубликовано 27 января, 2018 Опубликовано 27 января, 2018 Hawk10 Minsk и NikiNine заблокированы за неактивность и не выставление составов. По правилам: оптимальные составы этих игроков выставлены и не будут больше меняться вплоть до конца сезона.
Легенда Arizona Coyotes Опубликовано 29 января, 2018 Легенда Опубликовано 29 января, 2018 Отскочил Димста на 7-2, мог бы и на 9-0 уйти если б в последний день мне не засрали штрафные и нормально бы подобрали
Легенда zhivoglad Опубликовано 29 января, 2018 Легенда Опубликовано 29 января, 2018 Сло Мо как там Валанчик?))Сам слил себя из конкурентов за 2 лигу
Легенда Slo'_Mo' Опубликовано 29 января, 2018 Легенда Опубликовано 29 января, 2018 1 час назад, zhivoglad сказал: Сло Мо как там Валанчик?))Сам слил себя из конкурентов за 2 лигу Да Валан мне надоел, погоды мне не сделал бы. С таким набором инвалидов как Вучевич, Волл, Старик Эван, Рондае ХоллисДжи я уже сдался в погоне за второй лигой, мне бы в по попасть, но судя по всему уже нереально 1 час назад, zhivoglad сказал: Сло Мо как там Валанчик?))Сам слил себя из конкурентов за 2 лигу как там твои бойцы?
Легенда zhivoglad Опубликовано 29 января, 2018 Легенда Опубликовано 29 января, 2018 6 минут назад, Slo'_Mo' сказал: Да Валан мне надоел, погоды мне не сделал бы. С таким набором инвалидов как Вучевич, Волл, Старик Эван, Рондае ХоллисДжи я уже сдался в погоне за второй лигой, мне бы в по попасть, но судя по всему уже нереально как там твои бойцы? Сдулись все .Уже смирился с не выходом в вышку,попылю ещё во второй,а может и забью,так что борись,может мое место отдадут)
Легенда Slo'_Mo' Опубликовано 29 января, 2018 Легенда Опубликовано 29 января, 2018 2 часа назад, zhivoglad сказал: Сдулись все .Уже смирился с не выходом в вышку,попылю ещё во второй,а может и забью,так что борись,может мое место отдадут) пф, как бы мне в четвёртую не вылететь) 2
Легенда Arizona Coyotes Опубликовано 29 января, 2018 Легенда Опубликовано 29 января, 2018 38 минут назад, Slo'_Mo' сказал: пф, как бы мне в четвёртую не вылететь) Будете вдвоем с Родманцем играть)) 1
Легенда Slo'_Mo' Опубликовано 29 января, 2018 Легенда Опубликовано 29 января, 2018 1 час назад, San Antonio Spurs сказал: Будете вдвоем с Родманцем играть)) запросто, лучше с Родманцом. чем с такими нытиками, как ты
Рекомендуемые сообщения